INVENTARIOS:
El inventario representa la
existencia de bienes almacenados destinados a realizar una operación, sea de
compra, alquiler, venta, uso o transformación. Debe aparecer, contablemente,
dentro del activo como un activo circulante.
Los inventarios de una compañía
están constituidos por sus materias primas, sus productos en proceso, los
suministros que utiliza en sus operaciones y los productos terminados. Un
inventario puede ser algo tan elemental como una botella de limpiador de vidrios
empleada como parte del programa de mantenimiento de un edificio, o algo más
complejo, como una combinación de materias primas y suben samblajes que forman
parte de un proceso de manufactura.
TIPOS DE INVENTARIO:
Inventario de Materias Primas:
Lo conforman todos los materiales con los que se elaboran los productos, pero
que todavía no han recibido procesamiento.
Inventario de Productos en
Proceso de Fabricación: Lo integran todos aquellos bienes adquiridos
por las empresas manufactureras o industriales, los cuales se encuentran en
proceso de manufactura. Su cuantificación se hace por la cantidad de
materiales, mano de obra y gastos de fabricación, aplicables a la fecha de
cierre.
Inventario de Productos
Terminados: Son todos aquellos bienes adquiridos por las empresas
manufactureras o industriales, los cuales son transformados para ser vendidos
como productos elaborados.
Métodos de valuación de inventarios
Dentro de los métodos más
importantes para evaluar los inventarios, tenemos:
Método FIFO o PEPS. Este
método se basa en que lo primero que entra es lo primero en salir. Su
apreciación se adapta más a la realidad del mercado, ya que emplea una
valoración basada en costos más recientes.
Método LIFO o UEPS.
Contempla que toda aquella mercancía que entra de último es la que primero
sale. Su ventaja se basa en que el inventario mantiene su valor estable cuando
ocurre algún alza en los precios.
Método del Costo Promedio
Aritmético. El resultado lo dará la media aritmética de los precios
unitarios de los artículos.
Método del Promedio Armónico o
Ponderado. Este promedio se calculará ponderando los precios con las
unidades compradas, para luego dividir los importes totales entre el total de
las unidades.
Método del Costo Promedio Móvil o
del Saldo. Calcula el valor de la mercancía, de acuerdo con las
variaciones producidas por las entradas y salidas (compras o ventas) obteniéndose
promedios sucesivos.
Método del Costo Básico.
Por medio de este método se atribuyen valores fijos a las existencias mínimas,
este método es bastante parecido al LIFO con la diferencia de que se aplica
solamente a la cantidad de inventario mínimo.
MODELOS DE INVENTARIOS.
Modelo EOQ (Economic Order
Quantity) sin faltante
Éste modelo de
inventario determinístico tiene las siguientes características:
1. La
demanda es constante y conocida.
2. No
admite faltante.
3. Existe
un costo de mantener inventario.
4. Existe
un costo por pedir.
5. Los
costos siempre son constantes.
6. La
reposición es instantánea, es decir, no existe un tiempo en el que el pedido se
demore. El pedido llega completo.
A continuación de
muestra la gráfica de cantidad de inventario con respecto al tiempo para el
modelo EOQ sin faltante:
A partir de la información
proveniente de la gráfica es posible determinar la ecuación del costo en un
período:
En donde:
Hay que tener presente que el
número total de períodos N y el tiempo t están ligados a la demanda D y la
cantidad de inventario Q:
Modelo EOQ (Economic Order
Quantity) con faltante
Éste modelo de inventario determinístico tiene las
siguientes características:
a. La demanda es constante y conocida.
b.
Admite faltante.
c. Existe un costo de mantener inventario.
d.
Existe un costo por pedir.
e.
Los costos siempre son constantes.
Resumiendo puede decirse que este modelo es igual al EOQ sin
faltante, sólo que en éste modelo se permiten retrasos en los pedidos.
A continuación de muestra la gráfica de cantidad de
inventario con respecto al tiempo para el modelo EOQ sin faltante:
A partir de la información proveniente de la gráfica, es
posible determinar la ecuación del costo en un período:
Al hacer semejanza de triángulos podemos hallar los valores
de t1 y t2:
En donde:
Multiplicando el costo por el número total de pedidos N, nos
permite calcular el costo total por unidad de tiempo:
Lo que se busca es que el costo de inventario total sea
mínimo y para ello es necesario determinar la cantidad Q y S óptimos. Con ayuda
del cálculo multivariado podemos hallar el valor óptimo de Q y de S:
Al derivar con respecto a la cantidad Q y por medio de
distintos artificios matemáticos proveniente del Álgebra nos queda la siguiente
expresión:
Al derivar con respecto a la cantidad S y por medio de
distintos artificios matemáticos proveniente del Álgebra nos queda la siguiente
expresión:
Como se puede observar, tanto Q óptima como S óptimo están
en términos de S y Q respectivamente, por ende utilizamos el método de la substitución
para hallar los valores óptimos y utilizables de Q y S:
En donde, Q* es la
cantidad óptima y S* es el faltante óptimo.
Modelo LEP (Lote económico de
producción) sin faltante
Este modelo tiene la
particularidad de que ya no se piden los productos sino que son producidos por
la misma entidad.
Tiene las siguientes
características:
1. La
demanda es constante y conocida.
2. No
admite faltante.
3. Existe
un costo de mantener inventario.
4. Existe
un costo por producir.
5. Existe
un costo de operación.
6. Los
costos siempre son constantes.
En este modelo la capacidad del
sistema o tasa de producción es mayor a la tasa de demanda.
En donde:
R=tasa de producción.
d=tasa de demanda.
A partir de la información
proveniente de la gráfica, es posible determinar la ecuación del costo en un
período:
De acuerdo a la gráfica también es posible deducir que:
Al sustituir estas ecuaciones en la ecuación del costo en un
período t nos queda lo siguiente:
En donde:
Multiplicando el costo por el número total de pedidos N, nos
permite calcular el costo total por unidad de tiempo:
Lo que se busca es que el costo de inventario total sea
mínimo y para ello es necesario determinar la cantidad Q óptima. Con ayuda del
cálculo diferencial podemos hallar el valor óptimo de Q:
Modelo LEP (Lote económico de
producción) con faltante
Este modelo tiene la
particularidad de que ya no se piden los productos sino que son producidos por
la misma entidad y además se admite faltante.
Tiene las siguientes
características:
1.
La demanda es constante y conocida.
2.
Admite faltante.
3.
Existe un costo de mantener inventario.
4.
Existe un costo por producir.
5.
Existe un costo de operación.
6.
Los costos siempre son constantes.
En este modelo la
capacidad del sistema o tasa de producción es mayor a la tasa de demanda.
En donde:
R=tasa de producción.
d=tasa de demanda.
A partir de la
información proveniente de la gráfica, es posible determinar la ecuación del
costo en un período:
En donde:
De acuerdo a la gráfica también es posible deducir que:
Por consiguiente, se tiene lo siguiente:
A partir de las expresiones previamente halladas, se puede
plantear lo siguiente:
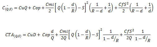
Con esto ya se tienen todas las
herramientas para plantear la ecuación del costo total con el siguiente
procedimiento:
Haciendo A=1-d/R
facilitaría mucho el procedimiento para hallar los óptimos.
Al hacer esto y con ayuda del cálculo multivariado se tiene
lo siguiente:
Y por último se logra obtener la cantidad y faltante
óptimos, los cuales son:
A continuación se muestran dos ejemplos en el que se aplica los modelos EOQ y LEP.
BIBLIOGRAFÍA:
- Principios de administración financiera, Lawrence J Gitman, Elisa Nuñez Ramos. (2003).
- Kauffman. 2004. Métodos y Modelos de Investigación de Operaciones, CECSA.
- Hillier y Lieberman. 2007. Introducción a la Investigación de Operaciones. Mc Graw Hill.



























ResponderEliminarNuestro software de control de stock los soluciona a través de la sección control de inventario donde:
Nos señala que cantidad debería haber de cada producto
Luego nosotros contamos en nuestra tienda cuanto efectivamente hay y lo ingresamos.
El sistema establecerá si hubo diferencias entre lo que debería haber y lo que realmente hay y calcula cuanto pesos se perdieron debido a ello
Me sirve
ResponderEliminar